TIC 257060897b to typ egzoplanety określanej mianem gorącego jowisza. Jest o połowę większa od Jowisza, ale jednocześnie o 30% mniej masywna niż największa planeta Układu Słonecznego. To niezwykła obserwacja, bo zazwyczaj wraz z rozmiarem rośnie masa obiektu. Odkrycie zostało opisane w arXiv.org.
Napompowany superjowisz
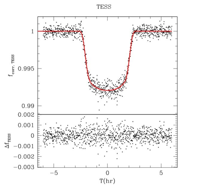
TIC 257060897b to świat odkryty przez teleskop kosmiczny Transiting Exoplanet Survey Satellite (TESS), potocznie nazywany “łowcą planet”. Prowadzi on obserwacje ok. 200 000 najjaśniejszych gwiazd sąsiadujących Słońca i namierza krążące wokół nich egzoplanety metodą tranzytu. TESS do tej pory zidentyfikował 4500 kandydatów na planety, z czego potwierdzono istnienie 156 światów.
Naukowcy z Uniwersytetu w Padwie pod kierownictwem Marco Montalto podczas obserwacji gwiazdy oznaczonej jako TOI-4138 lub TIC 257060897, wykryli anomalię w jej krzywej blasku. Kolejne obserwacje potwierdziły, że jej źródłem jest gigantyczna egzoplaneta.
TIC 257060897b ma promień ok. 1,49 promienia Jowisza (jest o połowę większa) i masę ok. 0,67 masy Jowisza (o 30% lżejsza), co oznacza gęstość planety na poziomie 0,25 g/cm3. Dla przykładu – gęstość Jowisza wynosi 1,326 g/cm3. Na TIC 257060897b panują temperatury sięgające ok. 1500oC, a okrążenie gwiazdy macierzystej zajmuje jej 3,66 dnia.
Wszystkie zebrane dane wskazują, że TIC 257060897b to tzw. gorący jowisz. Egzoplanety tego typu są podobne do Jowisza – osiągają gigantyczne rozmiary i nie mają skalistej powierzchni. Ich okresy orbitalne są zazwyczaj krótsze niż 10 dni, co sprawia, że temperatury panujące na powierzchni są wysokie (z uwagi na bliską odległość od gwiazdy).
Planeta TIC 257060897b jest oddalona od nas o ok. 1623 lata świetlne. Jest niezwykła, bo mimo że ogromnych rozmiarów, to ma jedną z najmniejszych gęstości wśród egzoplanet. Astronomowie przewidują, że niektóre gazowe olbrzymy właśnie dzielą taki los – powiększają się, gdy ich gwiazdy macierzyste są u schyłku życia.


